User interface language: English | Español

HL Paper 2

Consider the function fx=x2-x-122x-15, x, x152.

Find the coordinates where the graph of f crosses the

x-axis.

[2]
a.i.

y-axis.

[1]
a.ii.

Write down the equation of the vertical asymptote of the graph of f.

[1]
b.

The oblique asymptote of the graph of f can be written as y=ax+b where a, b.

Find the value of a and the value of b.

[4]
c.

Sketch the graph of f for -30x30, clearly indicating the points of intersection with each axis and any asymptotes.

[3]
d.

Express 1fx in partial fractions.

[3]
e.i.

Hence find the exact value of 031fxdx, expressing your answer as a single logarithm.

[4]
e.ii.

Markscheme

Note: In part (a), penalise once only, if correct values are given instead of correct coordinates.


attempts to solve x2-x-12=0              (M1)

-3,0 and 4,0             A1

 

[2 marks]

a.i.

Note: In part (a), penalise once only, if correct values are given instead of correct coordinates.

 

0,45            A1

 

[1 mark]

a.ii.

x=152            A1


Note: Award A0 for x152.
          Award A1 in part (b), if x=152 is seen on their graph in part (d).

[1 mark]

b.

METHOD 1

ax+b2x-15x2-x-12

attempts to expand ax+b2x-15              (M1)

2ax2-15ax+2bx-15bx2-x-12

a=12            A1

equates coefficients of x              (M1)

-1=-152+2b

b=134            A1

y=x2+134

 

METHOD 2

attempts division on x2-x-122x-15              M1

x2+134+              M1

a=12            A1

b=134            A1

y=x2+134

 

METHOD 3

a=12            A1

x2-x-122x-15x2+b+c2x-15              M1

x2-x-122x-15x2+2x-15b+c

equates coefficients of x :              (M1)

-1=-152+2b

b=134            A1

y=x2+134

 

METHOD 4

attempts division on x2-x-122x-15              M1

x2-x-122x-15=x2+13x2-122x-15

a=12            A1

13x2-122x-15=134+              M1

b=134            A1

y=x2+134

 

[4 marks]

c.

 

two branches with approximately correct shape (for -30x30)            A1

their vertical and oblique asymptotes in approximately correct positions with both branches showing correct asymptotic behaviour to these asymptotes            A1

their axes intercepts in approximately the correct positions            A1


Note: Points of intersection with the axes and the equations of asymptotes are not required to be labelled.

 

[3 marks]

d.

attempts to split into partial fractions:             (M1)

2x-15x+3x-4Ax+3+Bx-4

2x-15Ax-4+Bx+3

A=3             A1

B=-1             A1

3x+3-1x-4

 

[3 marks]

e.i.

033x+3-1x-4dx

attempts to integrate and obtains two terms involving ‘ln’             (M1)

=3lnx+3-lnx-403             A1

=3ln6-ln1-3ln3+ln4             A1

=3ln2+ln4  =ln8+ln4

=ln32  =5ln2             A1


Note: The final A1 is dependent on the previous two A marks.

 

[4 marks]

e.ii.

Examiners report

[N/A]
a.i.
[N/A]
a.ii.
[N/A]
b.
[N/A]
c.
[N/A]
d.
[N/A]
e.i.
[N/A]
e.ii.



Prove the identity p+q3-3pqp+qp3+q3.

[2]
a.

The equation 2x2-5x+1=0 has two real roots, α and β.

Consider the equation x2+mx+n=0, where m, n and which has roots 1α3 and 1β3.
Without solving 2x2-5x+1=0, determine the values of m and n.

[6]
b.

Markscheme

METHOD 1

p+q3-3pqp+qp3+q3

attempts to expand p+q3                 M1

p3+3p2q+3pq2+q3

p+q3-3pqp+qp3+3p2q+3pq2+q3-3pqp+q

p3+3p2q+3pq2+q3-3p2q-3pq2                 A1

p3+q3                 AG


Note: Condone the use of equals signs throughout.

 

METHOD 2

p+q3-3pqp+qp3+q3

attempts to factorise p+q3-3pqp+q                 M1

p+qp+q2-3pq p+qp2-pq+q2

p3-p2q+pq2+p2q-pq2+q3                 A1

p3+q3                 AG


Note: Condone the use of equals signs throughout.

 

METHOD 3

p3+q3p+q3-3pqp+q

attempts to factorise p3+q3                 M1

p+qp2-pq+q2

p+qp+q2-3pq                 A1

p+q3-3pqp+q                 AG


Note: 
Condone the use of equals signs throughout.


[2 marks]

a.

Note: Award a maximum of A1M0A0A1M0A0 for m=-95 and n=8 found by using α,β=5±174 α,β=0.219, 2.28.
Condone, as appropriate, solutions that state but clearly do not use the values of α and β.
Special case: Award a maximum of A1M1A0A1M0A0 for m=-95 and n=8 obtained by solving simultaneously for α and β from product of roots and sum of roots equations.


product of roots of x2-52x+12=0

αβ=12 (seen anywhere)                      A1

considers 1α31β3 by stating 1αβ3=n                      M1


Note: Award M1 for attempting to substitute their value of αβ into 1αβ3.

1αβ3=1123

n=8                      A1

sum of roots of x2-52x+12=0

α+β=52 (seen anywhere)                A1

considers 1α3 and 1β3 by stating α+β3-3αβα+βαβ3 α+βαβ3-3α+βαβ2=-m                      M1


Note: Award M1 for attempting to substitute their values of α+b and αβ into their expression. Award M0 for use of α+β3-3αβα+β only.


=523-325218 =125-30=95

m=-95                A1

x2-95x+8=0


[6 marks]

b.

Examiners report

[N/A]
a.
[N/A]
b.



The function  f is defined by f ( x ) = 2 ln x + 1 x 3 , 0 <  x < 3.

Draw a set of axes showing  x and  y  values between −3 and 3. On these axes

Hence, or otherwise, find the coordinates of the point of inflexion on the graph of  y = f ( x ) .

[4]
b.

sketch the graph of y = f ( x ) , showing clearly any axis intercepts and giving the equations of any asymptotes.

[4]
c.i.

sketch the graph of y = f 1 ( x ) , showing clearly any axis intercepts and giving the equations of any asymptotes.

[4]
c.ii.

Hence, or otherwise, solve the inequality f ( x ) > f 1 ( x ) .

[3]
d.

Markscheme

finding turning point of  y = f ( x ) or finding root of y = f ( x )        (M1)

x = 0.899        A1

y = f ( 0.899048 ) = 0.375       (M1)A1

(0.899, −0.375)

Note: Do not accept x = 0.9 . Accept y-coordinates rounding to −0.37 or −0.375 but not −0.38.
 

[4 marks]

b.

smooth curve over the correct domain which does not cross the y-axis

and is concave down for x  > 1       A1

x -intercept at 0.607       A1

equations of asymptotes given as x  = 0 and x  = 3 (the latter must be drawn)       A1A1
 

[4 marks]

c.i.

attempt to reflect graph of f in y  = x        (M1)

smooth curve over the correct domain which does not cross the x -axis and is concave down for y  > 1       A1

y -intercept at 0.607       A1

equations of asymptotes given as y  = 0 and y  = 3 (the latter must be drawn)       A1

Note: For FT from (i) to (ii) award max M1A0A1A0.


[4 marks]

c.ii.

solve  f ( x ) = f 1 ( x ) or  f ( x ) = x to get x  = 0.372        (M1)A1

0 <  x < 0.372      A1

Note: Do not award FT marks.


[3 marks]

d.

Examiners report

[N/A]
b.
[N/A]
c.i.
[N/A]
c.ii.
[N/A]
d.



A function f is defined by fx=kex21+ex, where x, x0 and k+.

The region enclosed by the graph of y=f(x), the x-axis, the y-axis and the line x=ln16 is rotated 360° about the x-axis to form a solid of revolution.

Pedro wants to make a small bowl with a volume of 300cm3 based on the result from part (a). Pedro’s design is shown in the following diagrams.

The vertical height of the bowl, BO, is measured along the x-axis. The radius of the bowl’s top is OA and the radius of the bowl’s base is BC. All lengths are measured in cm.

For design purposes, Pedro investigates how the cross-sectional radius of the bowl changes.

Show that the volume of the solid formed is 15k2π34 cubic units.

[6]
a.

Find the value of k that satisfies the requirements of Pedro’s design.

[2]
b.

Find OA.

[2]
c.i.

Find BC.

[2]
c.ii.

By sketching the graph of a suitable derivative of f, find where the cross-sectional radius of the bowl is decreasing most rapidly.

[4]
d.i.

State the cross-sectional radius of the bowl at this point.

[2]
d.ii.

Markscheme

attempt to use V=πabfx2dx                 (M1)

V=π0ln16kex21+ex2dx  V=k2π0ln16ex1+ex2dx


EITHER

applying integration by recognition                 (M1)

=k2π-11+ex0ln16           A3


OR

u=1+exdu=exdx            (A1)

attempt to express the integral in terms of u             (M1)

when x=0, u=2 and when x=ln16, u=17

V=k2π2171u2du            (A1)

=k2π-1u217             A1

 

OR

u=exdu=exdx            (A1)

attempt to express the integral in terms of u             (M1)

when x=0, u=1 and when x=ln16, u=16

V=k2π11611+u2du             (A1)

=k2π-11+u116           A1


Note: Accept equivalent working with indefinite integrals and original limits for x.

 

THEN

=k2π12-117           A1

so the volume of the solid formed is 15k2π34 cubic units           AG


Note:
Award (M1)(A0)(M0)(A0)(A0)(A1) when 1534 is obtained from GDC

 

[6 marks]

a.

a valid algebraic or graphical attempt to find k              (M1)

k2=300×3415π

k=14.7  =2170π=680π  (as k+)           A1


Note: Candidates may use their GDC numerical solve feature.

 

[2 marks]

b.

attempting to find OA=f0=k2

with k=14.712 =2170π=680π             (M1)

OA=7.36 =170π           A1

 

[2 marks]

c.i.

attempting to find BC=fln16=4k17

with k=14.712 =2170π=680π             (M1)

BC=3.46 =817170π=81017π           A1

 

[2 marks]

c.ii.

EITHER

recognising to graph y=f'x             (M1)

Note: Award M1 for attempting to use quotient rule or product rule differentiation. f'x=kex21-ex21+ex2


for x>0 graph decreasing to the local minimum           A1

before increasing towards the x-axis           A1

 

OR

recognising to graph y=f''x             (M1)

Note: Award M1 for attempting to use quotient rule or product rule differentiation. f''x=kex2e2x-6ex+141+ex3

for x>0, graph increasing towards and beyond the x-intercept          A1

recognising f''x=0 for maximum rate          (A1)

 

THEN

x=1.76  =ln22+3         A1

 

Note: Only award A marks if either graph is seen.

[4 marks]

d.i.

attempting to find f1.76             (M1)

the cross-sectional radius at this point is 5.20 85πcm            A1

 

[2 marks]

d.ii.

Examiners report

[N/A]
a.
[N/A]
b.
[N/A]
c.i.
[N/A]
c.ii.
[N/A]
d.i.
[N/A]
d.ii.



A continuous random variable X has a probability density function given by

fx=arccosx 0x10otherwise

The median of this distribution is m.

Determine the value of m.

[2]
a.

Given that PX-ma=0.3, determine the value of a.

[4]
b.

Markscheme

recognises that 0marccosxdx=0.5                     (M1)

marccosm-1-m2-0-1=0.5

m=0.360034

m=0.360                     A1


[2 marks]

a.

METHOD 1

attempts to find at least one endpoint (limit) both in terms of m (or their m) and a                     (M1)

Pm-aXm+a=0.3                   

0.360034-a0.360034+aarccosxdx=0.3                     (A1)


Note: Award (A1) for m-am+aarccosxdx=0.3.


xarccosx-1-x20.360034-a0.360034+a

attempts to solve their equation for a                     (M1)


Note:
The above (M1) is dependent on the first (M1).


a=0.124861

a=0.125                       A1

 

METHOD 2

-aaarccos x-0.360034dx  =0.3                     (M1)(A1)

 

Note: Only award (M1) if at least one limit has been translated correctly.

Note: Award (M1)(A1) for -aaarccos x-mdx  =0.3.


attempts to solve their equation for a                     (M1)

a=0.124861

a=0.125                       A1

 

METHOD 3

EITHER 

-aaarccos x+0.360034dx  =0.3                     (M1)(A1)

 

Note: Only award (M1) if at least one limit has been translated correctly.

Note: Award (M1)(A1) for -aaarccos x+mdx  =0.3.


OR

20.360034-a20.360034+aarccos x-0.360034dx  =0.3                     (M1)(A1)


Note:
 Only award (M1) if at least one limit has been translated correctly.

Note: Award (M1)(A1) for 2m-a2m+aarccos x-mdx  =0.3.


THEN

attempts to solve their equation for a                     (M1)


Note:
 The above (M1) is dependent on the first (M1).


a=0.124861

a=0.125                       A1

 

[4 marks]

b.

Examiners report

[N/A]
a.
[N/A]
b.



Consider the function fx=x2-1, where 1x2.

The curve y=f(x) is rotated 2π about the y-axis to form a solid of revolution that is used to model a water container.

At t=0, the container is empty. Water is then added to the container at a constant rate of 0.4m3s-1.

Sketch the curve y=fx, clearly indicating the coordinates of the endpoints.

[2]
a.

Show that the inverse function of f is given by f-1x=x2+1.

[3]
b.i.

State the domain and range of f-1.

[2]
b.ii.

Show that the volume, Vm3, of water in the container when it is filled to a height of h metres is given by V=π13h3+h.

[3]
c.i.

Hence, determine the maximum volume of the container.

[2]
c.ii.

Find the time it takes to fill the container to its maximum volume.

[2]
d.

Find the rate of change of the height of the water when the container is filled to half its maximum volume.

[6]
e.

Markscheme

correct shape (concave down) within the given domain 1x2             A1

1,0 and 2,3=2,1.73             A1

 

Note: The coordinates of endpoints may be seen on the graph or marked on the axes.

 

[2 marks]

a.

interchanging x and y (seen anywhere)             M1

x=y2-1

x2=y2-1             A1

y=x2+1             A1

f-1x=x2+1             AG

 

[3 marks]

b.i.

0x3  OR domain 0,3=0,1.73             A1

1y2  OR  1f-1x2  OR  range 1,2             A1

 

[2 marks]

b.ii.

attempt to substitute x=y2+1 into the correct volume formula             (M1)

V=π0hy2+12dy =π0hy2+1dy             A1

=π13y3+y0h             A1

=π13h3+h             AG


Note:
Award marks as appropriate for correct work using a different variable e.g. π0hx2+12dx


[3 marks]

c.i.

attempt to substitute h=3  =1.732 into V             (M1)

V=10.8828

V=10.9m3  =23πm3             A1

 

[2 marks]

c.ii.

time =10.88280.4=23π0.4             (M1)

=27.207

=27.2=53πs             A1

 

[2 marks]

d.

attempt to find the height of the tank when V=5.4414 =3π             (M1)

π13h3+h=5.4414  =3π

h=1.1818             (A1)

attempt to use the chain rule or differentiate V=π13h3+h with respect to t             (M1)

dhdt=dhdV×dVdt=1πh2+1×dVdt  OR  dVdt=πh2+1dhdt             (A1)

attempt to substitute their h and dVdt=0.4             (M1)

dhdt=0.4π1.18182+1=0.053124

=0.0531m s-1             A1

 

[6 marks]

e.

Examiners report

Part a) was generally well done, with the most common errors being to use an incorrect domain or not to give the coordinates of the endpoints. Some graphs appeared to be straight lines; some candidates drew sketches which were too small which made it more difficult for them to show the curvature.

Most candidates were able to show the steps to find an inverse function in part b), although occasionally a candidate did not explicitly swop the x and y variables before writing down the inverse function, which was given in the question. Many candidates struggled to identify the domain and range of the inverse, despite having a correct graph.

Part c) required a rotation around the y-axis, but a number of candidates attempted to rotate around the x-axis or failed to include limits. In the same vein, many substituted 2 into the formula instead of the square root of 3 when answering the second part. Many subsequently gained follow through marks on part d).

There were a number of good attempts at related rates in part e), with the majority differentiating V with respect to t, using implicit differentiation. However, many did not find the value of h which corresponded to halving the volume, and a number did not differentiate with respect to t, only with respect to h.

a.
[N/A]
b.i.
[N/A]
b.ii.
[N/A]
c.i.
[N/A]
c.ii.
[N/A]
d.
[N/A]
e.



The voltage v in a circuit is given by the equation

v ( t ) = 3 sin ( 100 π t ) t 0  where t is measured in seconds.

The current i in this circuit is given by the equation

i ( t ) = 2 sin ( 100 π ( t + 0.003 ) ) .

The power p in this circuit is given by p ( t ) = v ( t ) × i ( t ) .

The average power  p a v in this circuit from t = 0 to t = T is given by the equation

p a v ( T ) = 1 T 0 T p ( t ) d t , where  T > 0 .

Write down the maximum and minimum value of v .

[2]
a.

Write down two transformations that will transform the graph of y = v ( t ) onto the graph of y = i ( t ) .

[2]
b.

Sketch the graph of y = p ( t ) for 0 ≤ t ≤ 0.02 , showing clearly the coordinates of the first maximum and the first minimum.

[3]
c.

Find the total time in the interval 0 ≤ t ≤ 0.02 for which  p ( t )  ≥ 3.

 

[3]
d.

Find p a v (0.007).

 

[2]
e.

With reference to your graph of  y = p ( t )  explain why  p a v ( T ) > 0 for all T > 0.

 

[2]
f.

Given that p ( t ) can be written as  p ( t ) = a sin ( b ( t c ) ) + d  where a b c d > 0, use your graph to find the values of a b c  and d .

 

[6]
g.

Markscheme

* This question is from an exam for a previous syllabus, and may contain minor differences in marking or structure.

3, −3       A1A1 

[2 marks]

a.

stretch parallel to the y -axis (with x -axis invariant), scale factor  2 3        A1

translation of  ( 0.003 0 )   (shift to the left by 0.003)      A1

Note: Can be done in either order.

[2 marks]

b.

correct shape over correct domain with correct endpoints       A1
first maximum at (0.0035, 4.76)       A1
first minimum at (0.0085, −1.24)       A1

[3 marks]

c.

p  ≥ 3 between  t = 0.0016762 and 0.0053238 and  t = 0.011676 and 0.015324       (M1)(A1)

Note: Award M1A1 for either interval.

= 0.00730       A1

[3 marks]

d.

p a v = 1 0.007 0 0.007 6 sin ( 100 π t ) sin ( 100 π ( t + 0.003 ) ) d t      (M1)

= 2.87       A1

[2 marks]

e.

in each cycle the area under the t axis is smaller than area above the t axis      R1

the curve begins with the positive part of the cycle       R1

[2 marks]

f.

a = 4.76 ( 1.24 ) 2        (M1)

a = 3.00        A1

d = 4.76 + ( 1.24 ) 2

d = 1.76        A1

b = 2 π 0.01

b = 628 ( = 200 π )        A1

c = 0.0035 0.01 4        (M1)

c = 0.00100        A1

[6 marks]

g.

Examiners report

[N/A]
a.
[N/A]
b.
[N/A]
c.
[N/A]
d.
[N/A]
e.
[N/A]
f.
[N/A]
g.



Consider the rectangle OABC such that AB = OC = 10 and BC = OA = 1 , with the points P , Q and R placed on the line OC such that OP = p , OQ = q and OR = r , such that 0 < p < q < r < 10.

Let θ p be the angle APO, θ q be the angle AQO and θ r be the angle ARO.

Consider the case when  θ p = θ q + θ r and QR = 1.

Find an expression for  θ p in terms of  p .

[3]
a.

Show that  p = q 2 + q 1 2 q + 1 .

[6]
b.

By sketching the graph of p as a function of q , determine the range of values of p for which there are possible values of q .

[4]
c.

Markscheme

* This question is from an exam for a previous syllabus, and may contain minor differences in marking or structure.

METHOD 1

use of tan       (M1)

tan θ p = 1 p        (A1)

θ p = arctan ( 1 p )       A1

 

METHOD 2

AP = p 2 + 1       (A1)

use of sin, cos, sine rule or cosine rule using the correct length of AP      (M1)

θ p = arcsin ( 1 p 2 + 1 )   or   θ p = arccos ( p p 2 + 1 )       A1

 

[3 marks]

a.

QR = 1 ⇒  r = q + 1       (A1)

Note: This may be seen anywhere.

 

tan θ p = tan ( θ q + θ r )

attempt to use compound angle formula for tan       M1

tan θ p = tan θ q + tan θ r 1 tan θ q tan θ r       (A1)

1 p = 1 q + 1 r 1 ( 1 q ) ( 1 r )       (M1)

1 p = 1 q + 1 q + 1 1 ( 1 q ) ( 1 q + 1 )   or   p = 1 ( 1 q ) ( 1 q + 1 ) ( 1 q ) + ( 1 q + 1 )       A1

1 p = q + q + 1 q ( q + 1 ) 1        M1

Note: Award M1 for multiplying top and bottom by q ( q + 1 ) .

 

p = q 2 + q 1 2 q + 1        AG

 

[6 marks]

b.

increasing function with positive q -intercept       A1

Note: Accept curves which extend beyond the domain shown above.

 

(0.618 <)  q < 9      (A1)

⇒ range is (0 <) p < 4.68       (A1)

0 < p < 4.68      A1

 

[4 marks]

 

c.

Examiners report

[N/A]
a.
[N/A]
b.
[N/A]
c.



Show that  cot 2 θ = 1 ta n 2 θ 2 tan θ .

[1]
a.

Verify that  x = tan θ and  x = cot θ satisfy the equation x 2 + ( 2 cot 2 θ ) x 1 = 0 .

[7]
b.

Hence, or otherwise, show that the exact value of  tan π 12 = 2 3 .

[5]
c.

Using the results from parts (b) and (c) find the exact value of  tan π 24 cot π 24 .

Give your answer in the form  a + b 3 where  a b Z .

[6]
d.

Markscheme

stating the relationship between cot and tan and stating the identity for tan 2 θ        M1

cot 2 θ = 1 tan 2 θ and  tan 2 θ = 2 tan θ 1 ta n 2 θ

⇒  cot 2 θ = 1 ta n 2 θ 2 tan θ      AG

[1 mark]

a.

METHOD 1

attempting to substitute tan θ for x and using the result from (a)      M1

LHS =  ta n 2 θ + 2 tan θ ( 1 ta n 2 θ 2 tan θ ) 1       A1

ta n 2 θ + 1 ta n 2 θ 1 = 0 (= RHS)      A1

so  x = tan θ  satisfies the equation      AG

attempting to substitute cot θ for x and using the result from (a)       M1

LHS =  co t 2 θ 2 cot θ ( 1 ta n 2 θ 2 tan θ ) 1       A1

= 1 ta n 2 θ ( 1 ta n 2 θ ta n 2 θ ) 1       A1

1 ta n 2 θ 1 ta n 2 θ + 1 1 = 0 (= RHS)     A1

so  x = cot θ satisfies the equation      AG

 

METHOD 2

let  α = tan θ and  β = cot θ

attempting to find the sum of roots       M1

α + β = tan θ 1 tan θ

          = ta n 2 θ 1 tan θ      A1

          = 2 cot 2 θ (from part (a))     A1

attempting to find the product of roots         M1

α β = tan θ × ( cot θ )      A1

= −1     A1

the coefficient of x and the constant term in the quadratic are 2 cot 2 θ and −1 respectively        R1

hence the two roots are  α = tan θ  and  β = cot θ        AG

[7 marks]

b.

METHOD 1

x = tan π 12 and  x = cot π 12 are roots of  x 2 + ( 2 cot π 6 ) x 1 = 0         R1

Note: Award R1 if only  x = tan π 12  is stated as a root of  x 2 + ( 2 cot π 6 ) x 1 = 0 .

x 2 + 2 3 x 1 = 0         A1

attempting to solve their quadratic equation         M1

x = 3 ± 2         A1

tan π 12 > 0   ( cot π 12 < 0 )        R1

so  tan π 12 = 2 3       AG

 

METHOD 2

attempting to substitute  θ = π 12 into the identity for  tan 2 θ            M1

tan π 6 = 2 tan π 12 1 ta n 2 π 12

ta n 2 π 12 + 2 3 tan π 12 1 = 0      A1

attempting to solve their quadratic equation      M1

tan π 12 = 3 ± 2      A1

tan π 12 > 0       R1

so  tan π 12 = 2 3       AG

[5 marks]

c.

tan π 24 cot π 24  is the sum of the roots of  x 2 + ( 2 cot π 12 ) x 1 = 0         R1

tan π 24 cot π 24 = 2 cot π 12       A1

= 2 2 3       A1

attempting to rationalise their denominator       (M1)

= 4 2 3        A1A1

[6 marks]

d.

Examiners report

[N/A]
a.
[N/A]
b.
[N/A]
c.
[N/A]
d.



A function f is defined by fx=arcsinx2-1x2+1, x.

A function g is defined by gx=arcsinx2-1x2+1, x, x0.

Show that f is an even function.

[1]
a.

By considering limits, show that the graph of y=f(x) has a horizontal asymptote and state its equation.

[2]
b.

Show that f'x=2xx2x2+1 for x, x0.

[6]
c.i.

By using the expression for f'x and the result x2=x, show that f is decreasing for x<0.

 

[3]
c.ii.

Find an expression for g-1(x), justifying your answer.

[5]
d.

State the domain of g-1.

[1]
e.

Sketch the graph of y=g-1(x), clearly indicating any asymptotes with their equations and stating the values of any axes intercepts.

[3]
f.

Markscheme

EITHER

f-x=arcsin-x2-1-x2+1=arcsinx2-1x2+1=fx            R1


OR

a sketch graph of y=fx with line symmetry in the y-axis indicated            R1


THEN

so fx is an even function.            AG

 

[1 mark]

a.

as x±,  fxarcsin1π2            A1

so the horizontal asymptote is y=π2            A1 

 

[2 marks]

b.

attempting to use the quotient rule to find ddxx2-1x2+1            M1

ddxx2-1x2+1=2xx2+1-2xx2-1x2+12  =4xx2+12            A1

attempting to use the chain rule to find ddxarcsinx2-1x2+1            M1

let u=x2-1x2+1 and so y=arcsinu and dydu=11-u2

f'x=11-x2-1x2+12×4xx2+12            M1

=4xx2+12-x2-12×1x2+1            A1

=4x4x2×1x2+1            A1

=2xx2x2+1            AG

 

[6 marks]

c.i.

f'x=2xxx2+1


EITHER

for x<0, x=-x            (A1)

so f'x=-2xx2+1            A1


OR

x>0 and x2+1>0            A1

2x<0, x<0            A1


THEN

f'x<0              R1


Note:
Award R1 for stating that in f'x, the numerator is negative, and the denominator is positive.


so f is decreasing for x<0            AG


Note:
Do not accept a graphical solution

 

[3 marks]

c.ii.

x=arcsiny2-1y2+1            M1

sinx=y2-1y2+1y2sinx+sinx=y2-1            A1

y2=1+sinx1-sinx            A1

domain of g is x, x0 and so the range of g-1 must be y, y0

hence the positive root is taken (or the negative root is rejected)              R1


Note: The R1 is dependent on the above A1.


so g-1x=1+sinx1-sinx            A1


Note: The final A1 is not dependent on R1 mark.

 

[5 marks]

d.

domain is -π2x<π2            A1


Note: Accept correct alternative notations, for example, -π2, π2  or -π2, π2).
Accept [-1.57,1.57[  if correct to 3 s.f.

 

[1 mark]

e.

          A1A1A1

Note: A1 for correct domain and correct range and y-intercept at y=1
         A1 for asymptotic behaviour xπ2
         A1 for x=π2
         Coordinates are not required. 
         Do not accept x=1.57 or other inexact values.

 

[3 marks]

f.

Examiners report

[N/A]
a.
[N/A]
b.
[N/A]
c.i.
[N/A]
c.ii.
[N/A]
d.
[N/A]
e.
[N/A]
f.



The height of water, in metres, in Dungeness harbour is modelled by the function H(t)=asin(b(t-c))+d, where t is the number of hours after midnight, and a, b, c and d are constants, where a>0, b>0 and c>0.

The following graph shows the height of the water for 13 hours, starting at midnight.

The first high tide occurs at 04:30 and the next high tide occurs 12 hours later. Throughout the day, the height of the water fluctuates between 2.2m and 6.8m.

All heights are given correct to one decimal place.

Show that b=π6.

[1]
a.

Find the value of a.

[2]
b.

Find the value of d.

[2]
c.

Find the smallest possible value of c.

[3]
d.

Find the height of the water at 12:00.

[2]
e.

Determine the number of hours, over a 24-hour period, for which the tide is higher than 5 metres.

[3]
f.

A fisherman notes that the water height at nearby Folkestone harbour follows the same sinusoidal pattern as that of Dungeness harbour, with the exception that high tides (and low tides) occur 50 minutes earlier than at Dungeness.

Find a suitable equation that may be used to model the tidal height of water at Folkestone harbour.

[2]
g.

Markscheme

12=2πb  OR  b=2π12                A1

b=π6                AG

 

[1 mark]

a.

a=6.8-2.22  OR  a=max-min2                (M1)

=2.3m                A1

 

[2 marks]

b.

d=6.8+2.22  OR  d=max+min2                (M1)

=4.5m                A1

 

[2 marks]

c.

METHOD 1

substituting t=4.5 and H=6.8 for example into their equation for H                (A1)

6.8=2.3sinπ64.5-c+4.5

attempt to solve their equation                (M1)

c=1.5                A1

 

METHOD 2

using horizontal translation of 124                (M1)

4.5-c=3                (A1)

c=1.5                A1

 

METHOD 3

H't=2.3π6cosπ6t-c                (A1)

attempts to solve their H'4.5=0 for c                (M1)

2.3π6cosπ64.5-c=0

c=1.5                A1

 

[3 marks]

d.

attempt to find H when t=12 or t=0, graphically or algebraically                (M1)

H=2.87365

H=2.87m                A1

 

[2 marks]

e.

attempt to solve 5=2.3sinπ6t-1.5+4.5                (M1)

times are t=1.91852 and t=7.08147 , t=13.9185, t=19.0814                (A1)

total time is 2×7.081-1.919

10.3258

=10.3 (hours)                A1


Note: Accept 10.

 

[3 marks]

f.

METHOD 1

substitutes t=113 and H=6.8 into their equation for H and attempts to solve for c                (M1)

6.8=2.3sinπ6113-c+4.5c=23

Ht=2.3sinπ6t-23+4.5                A1

 

METHOD 2
uses their horizontal translation 124=3                (M1)

113-c=3c=23

Ht=2.3sinπ6t-23+4.5                A1

 

[2 marks]

g.

Examiners report

[N/A]
a.
[N/A]
b.
[N/A]
c.
[N/A]
d.
[N/A]
e.
[N/A]
f.
[N/A]
g.



It is given that f ( x ) = 3 x 4 + a x 3 + b x 2 7 x 4 where a and b are positive integers.

Given that x 2 1 is a factor of f ( x ) find the value of a and the value of b .

[4]
a.

Factorize f ( x ) into a product of linear factors.

[3]
b.

Using your graph state the range of values of c for which f ( x ) = c has exactly two distinct real roots.

[3]
d.

Markscheme

* This question is from an exam for a previous syllabus, and may contain minor differences in marking or structure.

g ( x ) = 3 x 4 + a x 3 + b x 2 7 x 4

g ( 1 ) = 0 a + b = 8      M1A1

g ( 1 ) = 0 a + b = 6      A1

a = 7 ,   b = 1      A1

[4 marks]

a.

3 x 4 + 7 x 3 + x 2 7 x 4 = ( x 2 1 ) ( p x 2 + q x + r )

attempt to equate coefficients     (M1)

p = 3 ,   q = 7 ,   r = 4      (A1)

3 x 4 + 7 x 3 + x 2 7 x 4 = ( x 2 1 ) ( 3 x 2 + 7 x + 4 )

= ( x 1 ) ( x + 1 ) 2 ( 3 x + 4 )      A1

 

Note:     Accept any equivalent valid method.

 

[3 marks]

b.

c > 0      A1

6.20 < c < 0.0366      A1A1

 

Note:     Award A1 for correct end points and A1 for correct inequalities.

 

Note:     If the candidate has misdrawn the graph and omitted the first minimum point, the maximum mark that may be awarded is A1FTA0A0 for c > 6.20 seen.

 

[3 marks]

d.

Examiners report

[N/A]
a.
[N/A]
b.
[N/A]
d.



Sketch the graphs  y = si n 3 x + ln x and  y = 1 + cos x  on the following axes for 0 < x ≤ 9.

[2]
a.

Hence solve  si n 3 x + ln x cos x 1 < 0 in the range 0 < x ≤ 9.

[4]
b.

Markscheme

* This question is from an exam for a previous syllabus, and may contain minor differences in marking or structure.

       A1A1

Note: Award A1 for each correct curve, showing all local max & mins.

Note: Award A0A0 for the curves drawn in degrees.

[2 marks]

a.

x  = 1.35, 4.35, 6.64       (M1)

Note: Award M1 for attempt to find points of intersections between two curves.

0 < x < 1.35      A1

Note: Accept x  < 1.35.

4.35 < x < 6.64       A1A1

Note: Award A1 for correct endpoints, A1 for correct inequalities.

Note: Award M1FTA1FTA0FTA0FT for 0 <  x  < 7.31.

Note: Accept x  < 7.31.

[4 marks]

b.

Examiners report

[N/A]
a.
[N/A]
b.



Consider f ( x ) = 1 + ln ( x 2 1 )

The function f is defined by f ( x ) = 1 + ln ( x 2 1 ) ,   x D

The function g is defined by g ( x ) = 1 + ln ( x 2 1 ) ,   x ] 1 ,   [ .

Find the largest possible domain D for f to be a function.

[2]
a.

Sketch the graph of y = f ( x ) showing clearly the equations of asymptotes and the coordinates of any intercepts with the axes.

[3]
b.

Explain why f is an even function.

[1]
c.

Explain why the inverse function f 1 does not exist.

[1]
d.

Find the inverse function g 1 and state its domain.

[4]
e.

Find g ( x ) .

[3]
f.

Hence, show that there are no solutions to  g ( x ) = 0 ;

[2]
g.i.

Hence, show that there are no solutions to  ( g 1 ) ( x ) = 0 .

[2]
g.ii.

Markscheme

* This question is from an exam for a previous syllabus, and may contain minor differences in marking or structure.

x 2 1 > 0      (M1)

x < 1 or x > 1      A1

[2 marks]

a.

M17/5/MATHL/HP2/ENG/TZ1/12.b/M

shape     A1

x = 1 and x = 1      A1

x -intercepts     A1

[3 marks]

b.

EITHER

f is symmetrical about the y -axis     R1

OR

f ( x ) = f ( x )      R1

[1 mark]

c.

EITHER

f is not one-to-one function     R1

OR

horizontal line cuts twice     R1

 

Note:     Accept any equivalent correct statement.

 

[1 mark]

d.

x = 1 + ln ( y 2 1 )      M1

e 2 x + 2 = y 2 1      M1

g 1 ( x ) = e 2 x + 2 + 1 ,   x R      A1A1

[4 marks]

e.

g ( x ) = 1 x 2 1 × 2 x 2 x 2 1      M1A1

g ( x ) = x x 2 1      A1

[3 marks]

f.

g ( x ) = x x 2 1 = 0 x = 0      M1

which is not in the domain of g (hence no solutions to g ( x ) = 0 )     R1

 

[2 marks]

g.i.

( g 1 ) ( x ) = e 2 x + 2 e 2 x + 2 + 1      M1

as e 2 x + 2 > 0 ( g 1 ) ( x ) > 0 so no solutions to ( g 1 ) ( x ) = 0      R1

 

Note:     Accept: equation e 2 x + 2 = 0 has no solutions.

 

[2 marks]

g.ii.

Examiners report

[N/A]
a.
[N/A]
b.
[N/A]
c.
[N/A]
d.
[N/A]
e.
[N/A]
f.
[N/A]
g.i.
[N/A]
g.ii.



The function f is defined by fx=3x+24x2-1, for xxpxq.

The graph of y=f(x) has exactly one point of inflexion.

The function g is defined by gx=4x2-13x+2, for x, x-23.

Find the value of p and the value of q.

[2]
a.

Find an expression for f'x.

[3]
b.

Find the x-coordinate of the point of inflexion.

[2]
c.

Sketch the graph of y=f(x) for -3x3, showing the values of any axes intercepts, the coordinates of any local maxima and local minima, and giving the equations of any asymptotes.

[5]
d.

Find the equations of all the asymptotes on the graph of y=g(x).

[4]
e.

By considering the graph of y=g(x)-f(x), or otherwise, solve f(x)<g(x) for x.

[4]
f.

Markscheme

attempt to solve 4x2-1=0 e.g. by factorising 4x2-1        (M1)

p=12, q=-12 or vice versa        A1

 

[2 marks]

a.

attempt to use quotient rule or product rule        (M1)

 

EITHER

f'x=34x2-1-8x3x+24x2-12=-12x2-16x-34x2-12        A1A1

 

Note: Award A1 for each term in the numerator with correct signs, provided correct denominator is seen.

 

OR

f'x=-8x3x+24x2-1-2+34x2-1-1        A1A1

 

Note: Award A1 for each term.

 

[3 marks]

b.

attempt to find the local min point on y=f'x OR solve f''x=0      (M1)

x=-1.60     A1

 

[2 marks]

c.

      A1A1A1A1A1

 

Note: Award A1 for both vertical asymptotes with their equations, award A1 for horizontal asymptote with equation, award A1 for each correct branch including asymptotic behaviour, coordinates of minimum and maximum points (may be seen next to the graph) and values of axes intercepts.
If vertical asymptotes are absent (or not vertical) and the branches overlap as a consequence, award maximum A0A1A0A1A1.

 

[5 marks]

d.

x=-23=-0.667         A1

(oblique asymptote has) gradient 43=1.33         (A1)

appropriate method to find complete equation of oblique asymptote         M1

    3x+24x2+0x-1                      43x-89

 4x2+83x-83x-1

  -83x-16979

y=43x-89=1.33x-0.889         A1

Note: Do not award the final A1 if the answer is not given as an equation.

 

[4 marks]

e.

attempting to find at least one critical value x=-0.568729, x=1.31872         (M1)

-23<x<-0.569  OR  -0.5<x<0.5  OR  x>1.32        A1A1A1

 

Note: Only penalize once for use of  rather than <.

 

[4 marks]

f.

Examiners report

[N/A]
a.
[N/A]
b.
[N/A]
c.
[N/A]
d.
[N/A]
e.
[N/A]
f.



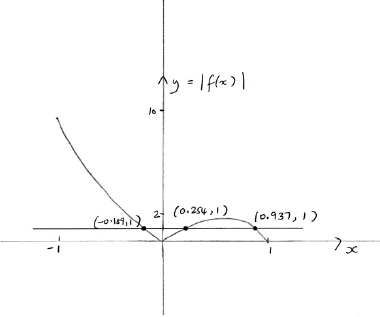
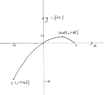
Consider the function f defined by f ( x ) = 3 x arccos ( x ) where 1 x 1 .

Sketch the graph of f indicating clearly any intercepts with the axes and the coordinates of any local maximum or minimum points.

[3]
a.

State the range of f .

[2]
b.

Solve the inequality | 3 x arccos ( x ) | > 1 .

[4]
c.

Markscheme

* This question is from an exam for a previous syllabus, and may contain minor differences in marking or structure.

N16/5/MATHL/HP2/ENG/TZ0/05.a/M

correct shape passing through the origin and correct domain     A1

 

Note: Endpoint coordinates are not required. The domain can be indicated by 1 and 1 marked on the axis.

( 0.652 ,   1.68 )    A1

two correct intercepts (coordinates not required)     A1

 

Note: A graph passing through the origin is sufficient for ( 0 ,   0 ) .

 

[3 marks]

a.

[ 9.42 ,   1.68 ]   ( or  3 π ,   1.68 ] )    A1A1

 

Note: Award A1A0 for open or semi-open intervals with correct endpoints. Award A1A0 for closed intervals with one correct endpoint.

 

[2 marks]

b.

attempting to solve either | 3 x arccos ( x ) | > 1 (or equivalent) or | 3 x arccos ( x ) | = 1 (or equivalent) (eg. graphically)     (M1)

N16/5/MATHL/HP2/ENG/TZ0/05.c/M

x = 0.189 ,   0.254 ,   0.937    (A1)

1 x < 0.189  or  0.254 < x < 0.937    A1A1

 

Note: Award A0 for x < 0.189 .

 

[4 marks]

c.

Examiners report

[N/A]
a.
[N/A]
b.
[N/A]
c.



The population, P, of a particular species of marsupial on a small remote island can be modelled by the logistic differential equation

dPdt=kP1-PN

where t is the time measured in years and k, N are positive constants.

The constant N represents the maximum population of this species of marsupial that the island can sustain indefinitely.

Let P0 be the initial population of marsupials.

In the context of the population model, interpret the meaning of dPdt.

[1]
a.

Show that d2Pdt2=k2P1-PN1-2PN.

[4]
b.

Hence show that the population of marsupials will increase at its maximum rate when P=N2. Justify your answer.

[5]
c.

Hence determine the maximum value of dPdt in terms of k and N.

[2]
d.

By solving the logistic differential equation, show that its solution can be expressed in the form

kt=lnPP0N-P0N-P.

[7]
e.

After 10 years, the population of marsupials is 3P0. It is known that N=4P0.

Find the value of k for this population model.

[2]
f.

Markscheme

rate of growth (change) of the (marsupial) population (with respect to time)       A1

 

[1 mark] 


Note:
Do not accept growth (change) in the (marsupials) population per year.

a.

METHOD 1

attempts implicit differentiation on dPdt=kP-kP2N be expanding kP1-PN       (M1)

d2Pdt2=kdPdt-2kPNdPdt       A1A1

=kdPdt1-2PN       A1

dPdt=kP1-PN and so d2Pdt2=k2P1-PN1-2PN       AG

 

METHOD 2

attempts implicit differentiation (product rule) on dPdt=kP1-PN        M1

d2Pdt2=kdPdt1-PN+kP-1NdPdt        A1

substitutes dPdt=kP1-PN into their d2Pdt2        M1

d2Pdt2=kkP1-PN1-PN+kP-1NkP1-PN

=k2P1-PN2-k2P1-PNPN

=k2P1-PN1-PN-PN        A1

so d2Pdt2=k2P1-PN1-2PN        AG

 

[4 marks] 

b.

d2Pdt2=0k2P1-PN1-2PN=0         (M1)

P=0,N2,N          A2

Note: Award A1 for P=N2 only.

uses the second derivative to show that concavity changes at P=N2 or the first derivative to show a local maximum at P=N2          M1

EITHER

a clearly labelled correct sketch of d2Pdt2 versus P showing P=N2 corresponding to a local maximum point for dPdt           R1


OR

a correct and clearly labelled sign diagram (table) showing P=N2 corresponding to a local maximum point for dPdt            R1


OR

for example, d2Pdt2=3k2N32>0 with P=N4 and d2Pdt2=3k2N32<0 with P=3N4 showing P=N2 corresponds to a local maximum point for dPdt            R1

so the population is increasing at its maximum rate when P=N2         AG

 

[5 marks] 

c.

substitutes P=N2 into dPdt         (M1)

dPdt=kN21-N2N

the maximum value of dPdt is kN4          A1

 

[2 marks]

d.

METHOD 1

attempts to separate variables          M1

NPN-PdP=kdt

attempts to write NPN-P in partial fractions form         M1

NPN-PAP+BN-PNAN-P+BP

A=1, B=1         A1

NPN-P1P+1N-P

1P+1N-PdP=kdt

lnP-lnN-P=kt+C         A1A1


Note: Award A1 for -lnN-P and A1 for lnP and kt+C. Absolute value signs are not required.

 

attempts to find C in terms of N and P0         M1

when t=0, P=P0 and so C=lnP0-lnN-P0

kt=lnPN-P-lnP0N-Po =lnPN-PP0N-P0         A1

so kt=lnPP0N-P0N-P         AG

 

METHOD 2

attempts to separate variables          M1

1P1-PNdP=kdt

attempts to write 1P1-PN in partial fractions form         M1

1P1-PNAP+B1-PN1A1-PN+BP 

 A=1, B=1N         A1

1P1-PN1P+1N1-PN

1P+1N1-PNdP=kdt

lnP-ln1-PN=kt+C         A1A1


Note:
 Award A1 for -ln1-PN and A1 for lnP and kt+C. Absolute value signs are not required.


lnP1-PN=kt+ClnNPN-P=kt+C

attempts to find C in terms of N and P0         M1

when t=0, P=P0 and so C=lnNP0N-P0

kt=lnNPN-P-lnNP0N-P0 =lnPN-PP0N-P0         A1

kt=lnPP0N-P0N-P         AG

 

METHOD 3

lets u=1P and forms dudt=-1P2dPdt          M1

multiplies both sides of the differential equation by -1P2 and makes the above substitutions          M1

-1P2dPdt=k1N-1Pdudt=k1N-u

dudt+ku=kN (linear first-order DE)         A1

IF=ekdt=ektektdudt+kektu=kNekt         (M1)

ddtuekt=kNekt

uekt=1Nekt+C 1Pekt=1Nekt+C         A1

attempts to find C in terms of N and P0         M1

when t=0, P=P0, u=1P0 and so C=1P0-1N=N-P0NP0

ektN-PNP=N-P0NP0

ekt=PN-PN-P0P0         A1

kt=lnPP0N-P0N-P         AG

 

[7 marks]

e.

substitutes t=10, P=3P0 and N=4P0 into kt=lnPP0N-P0N-P          M1

10k=ln34P0-P04P0-3P0  =ln9

k=0.220  =110ln9,=15ln3         A1

 

[2 marks]

f.

Examiners report

An extremely tricky question even for the strong candidates. Many struggled to understand what was expected in parts (b) and (c). As the question was set all with pronumerals instead of numbers many candidates found it challenging, thrown at deep water for parts (b), (c) and (e). It definitely was the question to show their skills for the Level 7 candidates provided that they did not run out of time.

Part (a) Very well answered, mostly correctly referring to the rate of change. Some candidates did not gain this mark because their sentence did not include the reference to the rate of change. Worded explanations continue being problematic to many candidates.

Part (b) Many candidates were confused how to approach this question and did not realise that they
needed to differentiate implicitly. Some tried but with errors, some did not fully show what was required.

Part (c) Most candidates started with equating the second derivative to zero. Most gave the answer P=N2omitting the other two possibilities. Most stopped here. Only a small number of candidates provided the correct mathematical argument to show it is a local maximum.

Part (d) Well done by those candidates who got that far. Most got the correct answer, sometimes not fully simplified.

Part (e) Most candidates separated the variables, but some were not able to do much more. Some candidates knew to resolve into partial fractions and attempted to do so, mainly successfully. Then they integrated, again, mainly successfully and continued to substitute the initial condition and manipulate the equation accordingly.

Part (f) Algebraic manipulation of the logarithmic expression was too much for some candidates with a common error of 0.33 given as the answer. The strong candidates provided the correct exact or rounded value.

a.
[N/A]
b.
[N/A]
c.
[N/A]
d.
[N/A]
e.
[N/A]
f.



Consider the function fx=2x-12x, x.

The function g is given by gx=x-1x2-2x-3, where x, x-1, x3.

Show that f is an odd function.

[2]
a.

Solve the inequality fxgx.

[4]
b.

Markscheme

attempt to replace x with -x           M1

f-x=2-x-12-x


EITHER

=12x-2x=-fx           A1


OR

=-2x-12x=-fx           A1


Note:
Award M1A0 for a graphical approach including evidence that either the graph is invariant after rotation by 180° about the origin or the graph is invariant after a reflection in the y-axis and then in the x-axis (or vice versa).

so f is an odd function           AG

 

[2 marks]

a.

attempt to find at least one intersection point            (M1)

x=-1.26686, x=0.177935, x=3.06167

x=-1.27, x=0.178, x=3.06

-1.27x-1,           A1

0.178x<3,           A1

x3.06           A1

 

[4 marks]

b.

Examiners report

[N/A]
a.
[N/A]
b.



A scientist conducted a nine-week experiment on two plants, A and B, of the same species. He wanted to determine the effect of using a new plant fertilizer. Plant A was given fertilizer regularly, while Plant B was not.

The scientist found that the height of Plant A, hA cm, at time t weeks can be modelled by the function hA(t)=sin(2t+6)+9t+27, where 0t9.

The scientist found that the height of Plant B, hB cm, at time t weeks can be modelled by the function hB(t)=8t+32, where 0t9.

Use the scientist’s models to find the initial height of

Plant B.

[1]
a.i.

Plant A correct to three significant figures.

[2]
a.ii.

Find the values of t when hAt=hBt.

[3]
b.

For t>6, prove that Plant A was always taller than Plant B.

[3]
c.

For 0t9, find the total amount of time when the rate of growth of Plant B was greater than the rate of growth of Plant A.

[6]
d.

Markscheme

32 (cm)          A1

 

[1 mark]

a.i.

hA0=sin6+27          (M1)

=26.7205

=26.7 (cm)          A1

 

[2 marks]

a.ii.

attempts to solve hAt=hBt for t          (M1)

t=4.0074,4.7034,5.88332

t=4.01,4.70,5.88 (weeks)          A2

 

[3 marks]

b.

hAt-hBt=sin2t+6+t-5          A1


EITHER

for t>6, t-5>1          A1

and as sin2t+6-1hAt-hBt>0          R1


OR

the minimum value of sin2t+6=-1          R1

so for t>6, hAt-hBt=t-6>0          A1


THEN

hence for t>6, Plant A was always taller than Plant B          AG

 

[3 marks]

c.

recognises that hA't and hB't are required          (M1)

attempts to solve hA't=hB't for t          (M1)

t=1.18879 and 2.23598  OR  4.33038 and 5.37758   OR  7.47197 and 8.51917          (A1)

 

Note: Award full marks for t=4π3-3, 5π3-3, 7π3-3, 8π3-3 10π3-3, 11π3-3.

Award subsequent marks for correct use of these exact values.

 

1.18879<t<2.23598  OR  4.33038<t<5.37758  OR 7.47197<t<8.51917          (A1)

attempts to calculate the total amount of time          (M1)

32.2359-1.1887  =35π3-3-4π3-3

=3.14 =π (weeks)          A1

 

[6 marks]

d.

Examiners report

Part (a) In general, very well done, most students scored full marks. Some though had an incorrect answer for part(a)(ii) because they had their GDC in degrees.

Part (b) Well attempted. Some accuracy errors and not all candidates listed all three values.

Part (c) Most students tried a graphical approach (but this would only get them one out of three marks) and only some provided a convincing algebraic justification. Many candidates tried to explain in words without a convincing mathematical justification or used numerical calculations with specific time values. Some arrived at the correct simplified equation for the difference in heights but could not do much with it. Then only a few provided a correct mathematical proof.

Part (d) In general, well attempted by many candidates. The common error was giving the answer as 3.15 due to the pre-mature rounding. Some candidates only provided the values of time when the rates are equal, some intervals rather than the total time.

a.i.
[N/A]
a.ii.
[N/A]
b.
[N/A]
c.
[N/A]
d.



Consider the expression  f ( x ) = tan ( x + π 4 ) cot ( π 4 x ) .

The expression  f ( x ) can be written as  g ( t ) where  t = tan x .

Let  α β be the roots of  g ( t ) = k , where 0 < k < 1.

Sketch the graph of  y = f ( x ) for  5 π 8 x π 8 .

[2]
a.i.

With reference to your graph, explain why  f  is a function on the given domain.

[1]
a.ii.

Explain why f has no inverse on the given domain.

[1]
a.iii.

Explain why f is not a function for 3 π 4 x π 4 .

[1]
a.iv.

Show that  g ( t ) = ( 1 + t 1 t ) 2 .

[3]
b.

Sketch the graph of  y = g ( t ) for t ≤ 0. Give the coordinates of any intercepts and the equations of any asymptotes.

[3]
c.

Find  α and β in terms of k .

[5]
d.i.

Show that  α  + β < −2.

[2]
d.ii.

Markscheme

     A1A1

A1 for correct concavity, many to one graph, symmetrical about the midpoint of the domain and with two axes intercepts.

Note: Axes intercepts and scales not required.

A1 for correct domain

[2 marks]

a.i.

for each value of x there is a unique value of f ( x )       A1

Note: Accept “passes the vertical line test” or equivalent.

[1 mark]

a.ii.

no inverse because the function fails the horizontal line test or equivalent      R1

Note: No FT if the graph is in degrees (one-to-one).

[1 mark]

a.iii.

the expression is not valid at either of x = π 4 ( or 3 π 4 )        R1

[1 mark]

a.iv.

METHOD 1

f ( x ) = tan ( x + π 4 ) tan ( π 4 x )      M1

= tan x + tan π 4 1 tan x tan π 4 tan π 4 tan x 1 + tan π 4 tan x       M1A1

= ( 1 + t 1 t ) 2       AG

 

METHOD 2

f ( x ) = tan ( x + π 4 ) tan ( π 2 π 4 + x )       (M1)

= ta n 2 ( x + π 4 )      A1

g ( t ) = ( tan x + tan π 4 1 tan x tan π 4 ) 2      A1

= ( 1 + t 1 t ) 2       AG

[3 marks]

b.

 

for t ≤ 0, correct concavity with two axes intercepts and with asymptote y  = 1      A1

t intercept at (−1, 0)      A1

y intercept at (0, 1)       A1

[3 marks]

c.

METHOD 1

α β satisfy ( 1 + t ) 2 ( 1 t ) 2 = k      M1

1 + t 2 + 2 t = k ( 1 + t 2 2 t )      A1

( k 1 ) t 2 2 ( k + 1 ) t + ( k 1 ) = 0      A1

attempt at using quadratic formula      M1

α β  = k + 1 ± 2 k k 1 or equivalent     A1

 

METHOD 2

α β satisfy  1 + t 1 t = ( ± ) k       M1

t + k t = k 1       M1

t = k 1 k + 1  (or equivalent)      A1

t k t = ( k + 1 )      M1

t = k + 1 k 1  (or equivalent)       A1

so for eg α = k 1 k + 1 β = k + 1 k 1

[5 marks]

d.i.

α  + β  = 2 ( k + 1 ) ( k 1 ) ( = 2 ( 1 + k ) ( 1 k ) )      A1

since  1 + k > 1 k      R1

α  + β < −2     AG

Note: Accept a valid graphical reasoning.

[2 marks]

d.ii.

Examiners report

[N/A]
a.i.
[N/A]
a.ii.
[N/A]
a.iii.
[N/A]
a.iv.
[N/A]
b.
[N/A]
c.
[N/A]
d.i.
[N/A]
d.ii.



Let P ( x ) = 2 x 4 15 x 3 + a x 2 + b x + c , where  a b c R

Given that  ( x 5 ) is a factor of P ( x ) , find a relationship between a , b and c .

[2]
a.

Given that ( x 5 ) 2 is a factor of P ( x ) , write down the value of P ( 5 ) .

[1]
b.

Given that ( x 5 ) 2 is a factor of P ( x ) , and that  a = 2 , find the values of  b and  c .

[3]
c.

Markscheme

* This question is from an exam for a previous syllabus, and may contain minor differences in marking or structure.

attempt to substitute  x = 5 and set equal to zero, or use of long / synthetic division      (M1)

2 × 5 4 15 × 5 3 + a × 5 2 + 5 b + c = 0       A1

( 25 a + 5 b + c = 625 )

 

[2 marks]

a.

0     A1

 

[1 mark]

b.

EITHER

attempt to solve  P ( 5 ) = 0      (M1)

8 × 5 3 45 × 5 2 + 4 × 5 + b = 0

 

OR

( x 2 10 x + 25 ) ( 2 x 2 + α x + β ) = 2 x 4 15 x 3 + 2 x 2 + b x + c       (M1)

comparing coefficients gives  α = 5, β  = 2

 

THEN

b = 105      A1

c = 625 25 × 2 525

c = 50      A1

 

[3 marks]

c.

Examiners report

[N/A]
a.
[N/A]
b.
[N/A]
c.



Consider the equation x 5 3 x 4 + m x 3 + n x 2 + p x + q = 0 , where m , n , p , q R .

The equation has three distinct real roots which can be written as lo g 2 a , lo g 2 b and lo g 2 c .

The equation also has two imaginary roots, one of which is d i where d R .

The values a , b , and c are consecutive terms in a geometric sequence.

Show that a b c = 8 .

[5]
a.

Show that one of the real roots is equal to 1.

[3]
b.

Given that q = 8 d 2 , find the other two real roots.

[9]
c.

Markscheme

* This question is from an exam for a previous syllabus, and may contain minor differences in marking or structure.

recognition of the other root  = d i        (A1)

lo g 2 a + lo g 2 b + lo g 2 c + d i d i = 3         M1A1

Note: Award M1 for sum of the roots, A1 for 3. Award A0M1A0 for just  lo g 2 a + lo g 2 b + lo g 2 c = 3 .

lo g 2 a b c = 3        (M1)

a b c = 2 3        A1

a b c = 8        AG

[5 marks]

a.

METHOD 1

let the geometric series be  u 1 u 1 r u 1 r 2

( u 1 r ) 3 = 8       M1

u 1 r = 2        A1

hence one of the roots is  lo g 2 2 = 1       R1

 

METHOD 2

b a = c b

b 2 = a c b 3 = a b c = 8       M1

b = 2        A1

hence one of the roots is  lo g 2 2 = 1       R1

 

[3 marks]

b.

METHOD 1

product of the roots is  r 1 × r 2 × 1 × d i × d i = 8 d 2        (M1)(A1)

r 1 × r 2 = 8        A1

sum of the roots is r 1 + r 2 + 1 + d i + d i = 3        (M1)(A1)

r 1 + r 2 = 2        A1

solving simultaneously       (M1)

r 1 = 2 r 2 = 4        A1A1

 

METHOD 2

product of the roots  lo g 2 a × lo g 2 b × lo g 2 c × d i × d i = 8 d 2        M1A1

lo g 2 a × lo g 2 b × lo g 2 c = 8        A1

EITHER

a b c  can be written as  2 r 2 2 r        M1

( lo g 2 2 r ) ( lo g 2 2 ) ( lo g 2 2 r ) = 8

attempt to solve       M1

( 1 lo g 2 r ) ( 1 + lo g 2 r ) = 8

lo g 2 r = ± 3

r = 1 8 , 8        A1A1

OR

a b c  can be written as  a 2 , 4 a       M1

( lo g 2 a ) ( lo g 2 2 ) ( lo g 2 4 a ) = 8

attempt to solve       M1

a = 1 4 , 16        A1A1

THEN

a and  c are  1 4 , 16        (A1)

roots are −2, 4       A1

 

[9 marks]

c.

Examiners report

[N/A]
a.
[N/A]
b.
[N/A]
c.



The following diagram shows the graph of  y = f ( x ) 3 x 5 .

Find the value of ( f f ) ( 1 ) .

[2]
a.

Given that  f 1 ( a ) = 3 , determine the value of a .

[2]
b.

Given that g ( x ) = 2 f ( x 1 ) , find the domain and range of g .

[2]
c.

Markscheme

f ( 1 ) = 0        (A1)

f ( 0 ) = 1         A1

[2 marks]

a.

a = f ( 3 )       (M1)

a = 4        A1

[2 marks]

b.

domain is  2 x 6        A1

range is  6 y 10        A1

[2 marks]

c.

Examiners report

[N/A]
a.
[N/A]
b.
[N/A]
c.



Find the set of values of k that satisfy the inequality k 2 k 12 < 0 .

[2]
a.

The triangle ABC is shown in the following diagram. Given that cos B < 1 4 , find the range of possible values for AB.

M17/5/MATHL/HP2/ENG/TZ2/04.b

[4]
b.

Markscheme

* This question is from an exam for a previous syllabus, and may contain minor differences in marking or structure.

k 2 k 12 < 0

( k 4 ) ( k + 3 ) < 0      (M1)

3 < k < 4      A1

[2 marks]

a.

cos B = 2 2 + c 2 4 2 4 c   ( or  16 = 2 2 + c 2 4 c cos B )      M1

c 2 12 4 c < 1 4      A1

c 2 c 12 < 0

from result in (a)

0 < AB < 4 or 3 < AB < 4      (A1)

but AB must be at least 2

2 < AB < 4      A1

 

Note:     Allow AB for either of the final two A marks.

 

[4 marks]

b.

Examiners report

[N/A]
a.
[N/A]
b.



Consider the function f ( x ) = a x + 1 b x + c , x c b , where  a b c Z .

The following graph shows the curve  y = ( f ( x ) ) 2 . It has asymptotes at  x = p and  y = q  and meets the x -axis at A.

On the following axes, sketch the two possible graphs of  y = f ( x )  giving the equations of any asymptotes in terms of  p and  q .

[4]
a.

Given that  p = 4 3 q = 4 9 and A has coordinates  ( 1 2 , 0 ) , determine the possible sets of values for  a b and  c .

[4]
b.

Markscheme

* This question is from an exam for a previous syllabus, and may contain minor differences in marking or structure.

either graph passing through (or touching) A        A1

correct shape and vertical asymptote with correct equation for either graph       A1

correct horizontal asymptote with correct equation for either graph       A1

two completely correct sketches       A1

 

[4 marks]

a.

a ( 1 2 ) + 1 = 0 a = 2       A1

from horizontal asymptote,  ( a b ) 2 = 4 9         (M1)

a b = ± 2 3 b = ± 3        A1

from vertical asymptote,  b ( 4 3 ) + c = 0

b = 3,  c = −4 or  b = −3,  c = 4     A1

 

[4 marks]

b.

Examiners report

[N/A]
a.
[N/A]
b.



The function f has a derivative given by f'x=1xk-x, x, xo, xk where k is a positive constant.

Consider P, the population of a colony of ants, which has an initial value of 1200.

The rate of change of the population can be modelled by the differential equation dPdt=Pk-P5k, where t is the time measured in days, t0, and k is the upper bound for the population.

At t=10 the population of the colony has doubled in size from its initial value.

The expression for f(x) can be written in the form ax+bk-x, where a, b. Find a and b in terms of k.

[3]
a.

Hence, find an expression for f(x).

[3]
b.

By solving the differential equation, show that P=1200kk-1200e-t5+1200.

[8]
c.

Find the value of k, giving your answer correct to four significant figures.

[3]
d.

Find the value of t when the rate of change of the population is at its maximum.

[3]
e.

Markscheme

1xk-xax+bk-x

ak-x+bx=1         (A1)

attempt to compare coefficients OR substitute x=k and x=0 and solve         (M1)

a=1k and b=1k        A1

f'(x)=1kx+1kk-x

 

[3 marks]

a.

attempt to integrate their ax+bk-x         (M1)

fx1k1x+1k-xdx

=1klnx-lnk-x+c=1klnxk-x+c         A1A1

 

Note: Award A1 for each correct term. Award A1A0 for a correct answer without modulus signs. Condone the absence of +c.

 

[3 marks]

b.

attempt to separate variables and integrate both sides         M1

5k1Pk-PdP=1dt

5lnP-lnk-P=t+c         A1

 

Note: There are variations on this which should be accepted, such as 1klnP-lnk-P=15kt+c. Subsequent marks for these variations should be awarded as appropriate.

 

EITHER

attempt to substitute t=0, P=1200 into an equation involving c        M1

c=5ln1200-lnk-1200=5ln1200k-1200         A1

5lnP-lnk-P=t+5ln1200-lnk-1200         A1

lnPk-12001200k-P=t5

Pk-12001200k-P=et5         A1

 

OR

lnPk-P=t+c5

Pk-P=Aet5         A1

attempt to substitute t=0, P=1200        M1

1200k-1200=A         A1

Pk-P=1200et5k-1200         A1

 

THEN

attempt to rearrange and isolate P        M1

Pk-1200P=1200ket5-1200Pet5  OR  Pke-t5-1200Pe-t5 =1200k-1200P  OR  kP-1=k-12001200et5

Pk-1200+1200et5=1200ket5  OR  Pke-t5-1200e-t5+1200=1200k         A1

 

P=1200kk-1200e-t5+1200         AG

 

[8 marks]

c.

attempt to substitute t=10, P=2400         (M1)

2400=1200kk-1200e-2+1200          (A1)

k=2845.34

k=2845          A1

 

Note: Award (M1)(A1)A0 for any other value of k which rounds to 2850

 

[3 marks]

d.

attempt to find the maximum of the first derivative graph OR zero of the second derivative graph OR that P=k2=1422.67         (M1)

t=1.57814

=1.58 (days)         A2

 

Note: Accept any value which rounds to 1.6.

 

[3 marks]

e.

Examiners report

[N/A]
a.
[N/A]
b.
[N/A]
c.
[N/A]
d.
[N/A]
e.



Two airplanes, A and B, have position vectors with respect to an origin O given respectively by

rA=19-11+t-624

rB=1012+t42-2

where t represents the time in minutes and 0t2.5.

Entries in each column vector give the displacement east of O, the displacement north of O and the distance above sea level, all measured in kilometres.

The two airplanes’ lines of flight cross at point P.

Find the three-figure bearing on which airplane B is travelling.

[2]
a.

Show that airplane A travels at a greater speed than airplane B.

[2]
b.

Find the acute angle between the two airplanes’ lines of flight. Give your answer in degrees.

[4]
c.

Find the coordinates of P.

[5]
d.i.

Determine the length of time between the first airplane arriving at P and the second airplane arriving at P.

[2]
d.ii.

Let D(t) represent the distance between airplane A and airplane B for 0t2.5.

Find the minimum value of D(t).

[5]
e.

Markscheme

let ϕ be the required angle (bearing)


EITHER

ϕ=90°-arctan12 =arctan2          (M1)


Note: Award M1 for a labelled sketch.


OR

cosϕ=01·421×20 =0.4472,=15          (M1)

ϕ=arccos0.4472


THEN

063°          A1


Note: Do not accept 063.6° or 63.4° or 1.10c.

 

[2 marks]

a.

METHOD 1

let bA be the speed of A and let bB be the speed of B

attempts to find the speed of one of A or B          (M1)

bA=-62+22+42  or  bB=42+22+-22


Note: Award M0 for bA=192+-12+12 and bB=12+02+122.


bA=7.48 =56 (km min-1) and bB=4.89 =24 (km min-1)          A1

bA>bB so A travels at a greater speed than B          AG

 

METHOD 2

attempts to use speed=distancetime

speedA=rAt2-rAt1t2-t1  and  speedB=rBt2-rBt1t2-t1          (M1)

for example:

speedA=rA1-rA01  and speedB=rB1-rB01

speedA=-62+22+421  and speedB=42+22+221

speedA=7.48214  and speedB=4.8924          A1

speedA>speedB so A travels at a greater speed than B          AG

 

[2 marks]

b.

attempts to use the angle between two direction vectors formula         (M1)

cosθ=-64+22+4-2-62+22+4242+22+-22         (A1)

cosθ=-0.7637 =-784  or  θ=arccos-0.7637 =2.4399

attempts to find the acute angle 180°-θ using their value of θ         (M1)

=40.2°         A1

 

[4 marks]

c.

for example, sets rAt1=rBt2 and forms at least two equations         (M1)

19-6t1=1+4t2

-1+2t1=2t2

1+4t1=12-2t2


Note: Award M0 for equations involving t only.


EITHER

attempts to solve the system of equations for one of t1 or t2         (M1)

t1=2  or  t2=32         A1


OR

attempts to solve the system of equations for t1 and t2         (M1)

t1=2  or  t2=32         A1


THEN

substitutes their t1 or t2 value into the corresponding rA or rB         (M1)

P7,3,9         A1


Note: Accept OP=739. Accept 7 km east of O3 km north of O and 9 km above sea level.

 

[5 marks]

d.i.

attempts to find the value of t1-t2           (M1)

t1-t2=2-32

0.5 minutes (30 seconds)         A1

 

[2 marks]

d.ii.

EITHER

attempts to find rB-rA           (M1)

rB-rA=-18111+t100-6

attempts to find their D(t)           (M1)

D(t)=10t-182+1+11-6t2         A1


OR

attempts to find rA-rB           (M1)

rA-rB=18-1-11+t-1006

attempts to find their D(t)           (M1)

D(t)=18-10t2+-12+-11+6t2         A1

 

Note: Award M0M0A0 for expressions using two different time parameters.


THEN

either attempts to find the local minimum point of D(t) or attempts to find the value of t such that D'(t)=0  (or equivalent)           (M1)

t=1.8088 =12368

D(t)=1.01459

minimum value of D(t) is 1.01 =119034 (km)         A1


Note: Award M0 for attempts at the shortest distance between two lines.

 

[5 marks]

e.

Examiners report

General comment about this question: many candidates were not exposed to this setting of vectors question and were rather lost.

Part (a) Probably the least answered question on the whole paper. Many candidates left it blank, others tried using 3D vectors. Out of those who calculated the angle correctly, only a small percentage were able to provide the correct true bearing as a 3-digit figure.

Part (b) Well done by many candidates who used the direction vectors to calculate and compare the speeds. A number of candidates tried to use the average rate of change but mostly unsuccessfully.

Part (c) Most candidates used the correct vectors and the formula to obtain the obtuse angle. Then only some read the question properly to give the acute angle in degrees, as requested.

Part (d) Well done by many candidates who used two different parameters. They were able to solve and obtain two values for time, the difference in minutes and the correct point of intersection. A number of candidates only had one parameter, thus scoring no marks in part (d) (i). The frequent error in part (d)(ii) was providing incorrect units.

Part (e) Many correct answers were seen with an efficient way of setting the question and using their GDC to obtain the answer, graphically or numerically. Some gave time only instead of actually giving the minimal distance. A number of candidates tried to find the distance between two skew lines ignoring the fact that the lines intersect.

a.
[N/A]
b.
[N/A]
c.
[N/A]
d.i.
[N/A]
d.ii.
[N/A]
e.



The number of bananas that Lucca eats during any particular day follows a Poisson distribution with mean 0.2.

Find the probability that Lucca eats at least one banana in a particular day.

[2]
a.

Find the expected number of weeks in the year in which Lucca eats no bananas.

[4]
b.

Markscheme

* This question is from an exam for a previous syllabus, and may contain minor differences in marking or structure.

let X be the number of bananas eaten in one day

X Po ( 0.2 )

P ( X 1 ) = 1 P ( X = 0 )     (M1)

= 0.181   ( = 1 e 0.2 )     A1

[2 marks]

a.

EITHER

let Y be the number of bananas eaten in one week

Y Po ( 1.4 )     (A1)

P ( Y = 0 ) = 0.246596   ( = e 1.4 )     (A1)

OR

let Z be the number of days in one week at least one banana is eaten

Z B ( 7 ,   0.181 )     (A1)

P ( Z = 0 ) = 0.246596     (A1)

THEN

52 × 0.246596     (M1)

= 12.8   ( = 52 e 1.4 )     A1

[4 marks]

b.

Examiners report

[N/A]
a.
[N/A]
b.



A continuous random variable X has the probability density function f given by

fx=xx2+k3        0x4      0                 otherwise

where k+.

Show that 16+k-k=k16+k.

[5]
a.

Find the value of k.

[2]
b.

Markscheme

recognition of the need to integrate xx2+k3       (M1)

xx2+k3dx=1

 

EITHER

u=x2+kdudx=2x (or equivalent)       (A1)

xx2+k3dx=12u-32du

=-u-12+c=-x2+k-12+c        A1

 

OR

xx2+k3dx=122xx2+k3dx       (A1)

=-x2+k-12+c        A1

 

THEN

attempt to use correct limits for their integrand and set equal to 1        M1

-u-12k16+k=1  OR  -x2+k-1204=1

-16+k-12+k-12=11k-116+k=1        A1

16+k-k=k16+k        AG

 

[5 marks]

a.

attempt to solve 16+k-k=k16+k      (M1)

k=0.645038

=0.645        A1

 

[2 marks]

b.

Examiners report

[N/A]
a.
[N/A]
b.



The polynomial  x 4 + p x 3 + q x 2 + r x + 6  is exactly divisible by each of  ( x 1 ) ( x 2 ) and  ( x 3 ) .

Find the values of  p q and  r .

Markscheme

* This question is from an exam for a previous syllabus, and may contain minor differences in marking or structure.

METHOD 1

substitute each of  x = 1,2 and 3 into the quartic and equate to zero      (M1)

p + q + r = 7

4 p + 2 q + r = 11  or equivalent        (A2)

9 p + 3 q + r = 29

Note: Award A2 for all three equations correct, A1 for two correct.

attempting to solve the system of equations      (M1)

p = −7,  q = 17,  r = −17     A1

Note: Only award M1 when some numerical values are found when solving algebraically or using GDC.

 

METHOD 2

attempt to find fourth factor      (M1)

( x 1 )      A1

attempt to expand  ( x 1 ) 2 ( x 2 ) ( x 3 )      M1

x 4 7 x 3 + 17 x 2 17 x + 6 ( p = −7,  q = 17,  r = −17)     A2

Note: Award A2 for all three values correct, A1 for two correct.

Note: Accept long / synthetic division.

[5 marks]

Examiners report

[N/A]



The function f is defined by  f ( x ) = sec x + 2 , 0 x < π 2 .

Write down the range of f .

[1]
a.

Find f-1(x), stating its domain.

[4]
b.

Markscheme

* This question is from an exam for a previous syllabus, and may contain minor differences in marking or structure.

f ( x ) ≥ 3      A1

[1 mark]

a.

x = sec y + 2        (M1)

Note: Exchange of variables can take place at any point.

cos y = 1 x 2        (A1)

f ( x ) = arccos ( 1 x 2 ) , x  ≥ 3      A1A1

Note: Allow follow through from (a) for last A1 mark which is independent of earlier marks in (b).

[4 marks]

b.

Examiners report

[N/A]
a.
[N/A]
b.



Consider the graphs of y = x 2 x 3  and y = m ( x + 3 ) m R .

Find the set of values for m such that the two graphs have no intersection points.

Markscheme

METHOD 1

sketching the graph of  y = x 2 x 3 ( y = x + 3 + 9 x 3 )      M1

the (oblique) asymptote has a gradient equal to 1 

and so the maximum value of m is 1      R1

consideration of a straight line steeper than the horizontal line joining (−3, 0) and (0, 0)      M1

so m > 0      R1

hence 0 < m ≤ 1      A1

 

METHOD 2

attempting to eliminate y to form a quadratic equation in  x        M1 

x 2 = m ( x 2 9 )

( m 1 ) x 2 9 m = 0       A1

 

EITHER

attempting to solve 4 ( m 1 ) ( 9 m ) < 0 for  m        M1 

 

OR

attempting to solve  x 2 < 0 ie  9 m m 1 < 0 ( m 1 )  for  m        M1

 

THEN

0 < m < 1       A1

a valid reason to explain why  m = 1  gives no solutions eg if  m = 1 ,

( m 1 ) x 2 9 m = 0 9 = 0 and so 0 <  m ≤ 1      R1

 

 

[5 marks]

Examiners report

[N/A]



Consider the equation kx2-k+3x+2k+9=0, where k.

Write down an expression for the product of the roots, in terms of k.

[1]
a.

Hence or otherwise, determine the values of k such that the equation has one positive and one negative real root.

[3]
b.

Markscheme

product of roots =2k+9k             A1

 

[1 mark]

a.

recognition that the product of the roots will be negative            (M1)

2k+9k<0

critical values k=0,-92 seen             (A1)

-92<k<0             A1

 

[3 marks]

b.

Examiners report

[N/A]
a.
[N/A]
b.



Consider the function f ( x ) = x sin x ,   0 < x < π .

Consider the region bounded by the curve y = f ( x ) , the x -axis and the lines x = π 6 ,   x = π 3 .

Show that the x -coordinate of the minimum point on the curve y = f ( x ) satisfies the equation tan x = 2 x .

[5]
a.i.

Determine the values of x for which f ( x ) is a decreasing function.

[2]
a.ii.

Sketch the graph of y = f ( x ) showing clearly the minimum point and any asymptotic behaviour.

[3]
b.

Find the coordinates of the point on the graph of f where the normal to the graph is parallel to the line y = x .

[4]
c.

This region is now rotated through 2 π radians about the x -axis. Find the volume of revolution.

[3]
d.

Markscheme

attempt to use quotient rule or product rule     M1

f ( x ) = sin x ( 1 2 x 1 2 ) x cos x sin 2 x   ( = 1 2 x sin x x cos x sin 2 x )     A1A1

 

Note:     Award A1 for 1 2 x sin x or equivalent and A1 for x cos x sin 2 x or equivalent.

 

setting f ( x ) = 0     M1

sin x 2 x x cos x = 0

sin x 2 x = x cos x or equivalent     A1

tan x = 2 x     AG

[5 marks]

a.i.

x = 1.17

0 < x 1.17     A1A1

 

Note:     Award A1 for 0 < x and A1 for x 1.17 . Accept x < 1.17 .

 

[2 marks]

a.ii.

N17/5/MATHL/HP2/ENG/TZ0/10.b/M

concave up curve over correct domain with one minimum point above the x -axis.     A1

approaches x = 0 asymptotically     A1

approaches x = π asymptotically     A1

 

Note:     For the final A1 an asymptote must be seen, and π must be seen on the x -axis or in an equation.

 

[3 marks]

b.

f ( x )   ( = sin x ( 1 2 x 1 2 ) x cos x sin 2 x ) = 1     (A1)

attempt to solve for x     (M1)

x = 1.96     A1

y = f ( 1.96 )

= 1.51     A1

[4 marks]

c.

V = π π 6 π 3 x d x sin 2 x     (M1)(A1)

 

Note:     M1 is for an integral of the correct squared function (with or without limits and/or π ).

 

= 2.68   ( = 0.852 π )     A1

[3 marks]

d.

Examiners report

[N/A]
a.i.
[N/A]
a.ii.
[N/A]
b.
[N/A]
c.
[N/A]
d.